Studying and evaluating TranFuzz for generating black-box adversarial examples on image classification models

Project Details

  • Project Type: Research and evaluation project on AI security
  • Tools: PyTorch, Adversarial Robustness Toolbox (ART), Python, GitHub
  • Duration: 2 months
  • Team: 5 members (students and industry mentor)
  • Article: Article
  • Report:: Report
  • Code: GitHub Repository

Introduction

Adversarial attacks can trick neural networks into making incorrect predictions through imperceptible perturbations, threatening critical systems in autonomous driving, healthcare, and cybersecurity. Traditional white-box attacks require full knowledge of the model architecture, while black-box attacks operate without this knowledge, making them realistic in practice.

TranFuzz is a system for generating highly transferable black-box adversarial examples using domain adaptation and fuzzing techniques, providing a framework to train and test models under adversarial conditions while exploring robustness improvements.


Project Overview

The project involved:

  • Reviewing adversarial attacks and defenses, focusing on black-box scenarios.
  • Studying TranFuzz, which combines Domain Adaptation (DSAN) and fuzzing for generating adversarial samples.
  • Evaluating the robustness of models (DenseNet, AlexNet, VGG) under various attacks (FGSM, PGD, C&W, ST, TranFuzz).
  • Exploring adversarial retraining using TranFuzz-generated samples to improve robustness.
  • Comparing results across datasets (Office31, OfficeHome) and analyzing the impact of dataset complexity on transferability and attack effectiveness.

TranFuzz System

TranFuzz operates through:

  • Domain Adaptation using DSAN to align source and target distributions, enabling effective local substitute models.
  • Fuzzing with neuron coverage metrics to explore under-tested areas of the model for effective perturbations.
  • An ensemble-based seed mutation strategy to enhance adversarial sample diversity and transferability.
  • Ensuring misclassification while preserving similarity (using a high SSIM threshold) for effective, human-imperceptible adversarial examples.

Example of an adversarial attack : Figure 1: Example of a basic adversarial attack : adding some carefully selected noise to a panda image can trick an image classification model into classifying the image as a gibbon with high confidence Figure 1: Example of a basic adversarial attack : adding some carefully selected noise to a panda image can trick an image classification model into classifying the image as a gibbon with high confidence


Evaluation Methodology

The evaluation involved:

  1. Training target models on selected datasets.
  2. Training DSAN-based source models on complementary subsets.
  3. Generating adversarial examples using the TranFuzz system.
  4. Testing transferability and attack effectiveness on target models.
  5. Performing adversarial retraining with TranFuzz-generated samples to improve model robustness.
  6. Comparing results with classical attacks (FGSM, PGD, C&W, ST) and with Madry’s adversarial training baseline.

Figure 2: Overall fuzzing methodology diagram Figure 2: Overall fuzzing methodology diagram

Figure 3: Adversarial retraining with augmented dataset Figure 3: Adversarial retraining with augmented dataset


Results

Transferability results

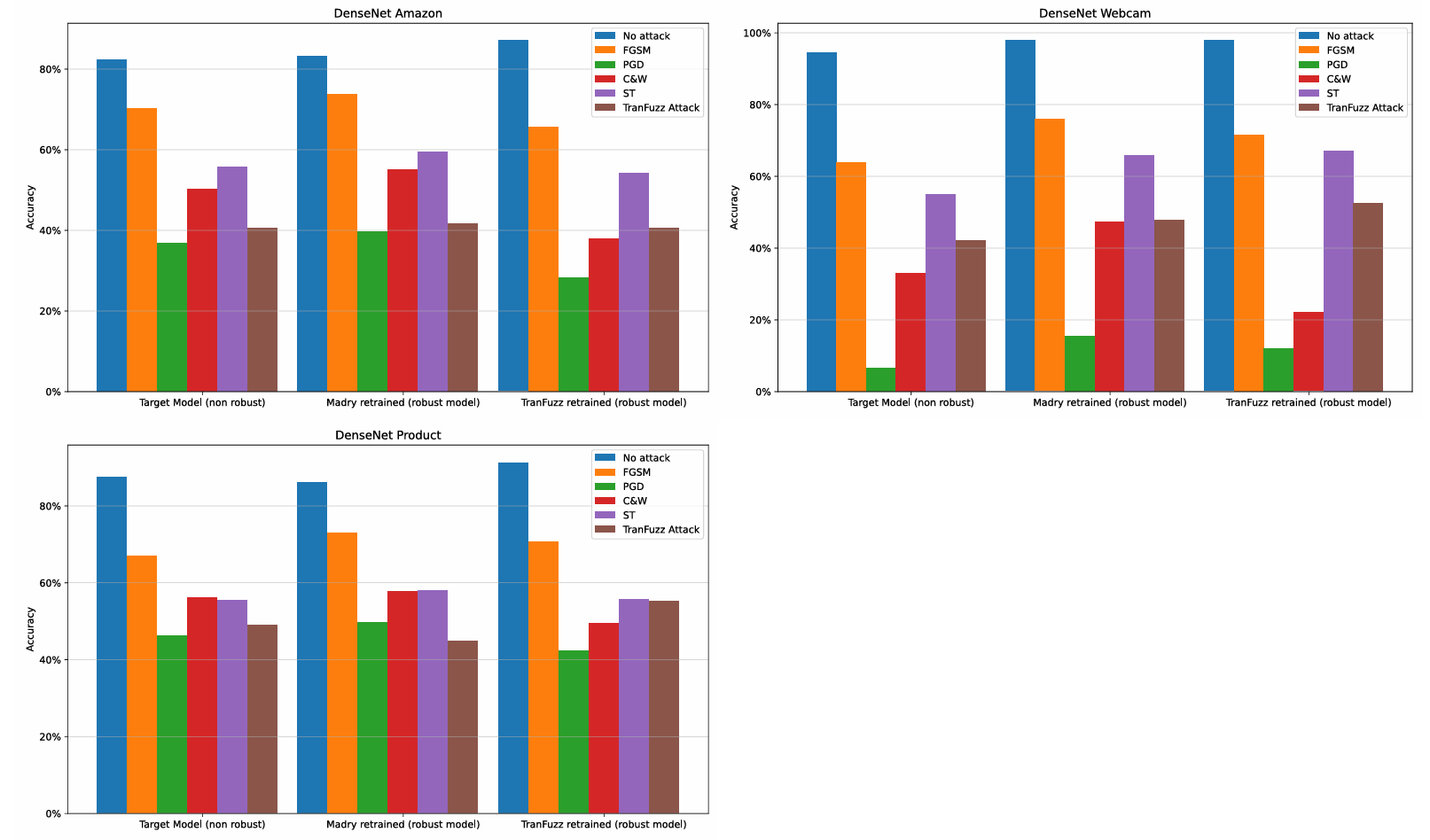
TranFuzz demonstrated strong transferability of adversarial examples across different models and datasets, with notable improvements over traditional methods. Figure 4: Transfer accuracy of the target model DenseNet-121 on the source model using different target datasets Figure 4: Transfer accuracy of the target model DenseNet-121 on the source model using different target datasets

  • TranFuzz demonstrated strong black-box attack capabilities, reducing DenseNet accuracy from 94% to 42% in some cases.
  • Transferability of adversarial examples increased with dataset complexity, with TranFuzz outperforming Madry retraining on harder datasets (Amazon, Product) by up to +4% in transfer accuracy.
  • PGD attacks remained the most powerful in white-box settings, while TranFuzz was highly competitive in black-box conditions.
  • Adversarial retraining with TranFuzz samples improved model resilience to certain attacks, but complete defense across all attack types was not achieved.
  • Limitations included dataset size, old model architectures, and unprovided hyperparameter details, impacting reproducibility and generalization.

Figure 5: DensetNet-121 result charts on different datasets Figure 5: DensetNet-121 result charts on different datasets

Figure 6: Office31/Webcam result charts for different model architectures Figure 6: Office31/Webcam result charts for different model architectures


Conclusion

TranFuzz is a promising system for generating black-box adversarial attacks while enhancing model robustness via retraining, though its defensive capabilities are partial. It complements existing adversarial training strategies, with notable improvements on complex datasets and under realistic black-box conditions.

Future work includes:

  • Expanding to advanced architectures (Transformers, EfficientNets).
  • Testing on larger, more diverse datasets.
  • Exploring additional attacks and defense mechanisms for holistic adversarial robustness evaluation.